flowchart TD A(unobserved variables) x-.-x B(study conditions) A --- C(outcome)
Applied Statistics for Life Sciences
A study is an effort to collect data in order to answer one or more research questions.
studies must be well-matched to research questions to provide good answers
how data are obtained is just as important as how the resulting data are analyzed
no analysis, no matter how sophisticated will rescue a poorly conceived study
A study unit is the smallest object or entity that is measured in a study; also called experimental unit or observational unit.
Study units should be chosen so as to represent a larger collection or “population”.

A study population is a collection of all study units of interest.
A sample is a subcollection:
The gold standard is the simple random sample: all inclusion probabilities are equal.
Observational studies collect data from an existing situation without intervention.
Aim is to detect associations and patterns
Can’t be used to infer causal relationships owing to possible unmeasured confounding
Experiments collect data from a situation in which one or more interventions have been introduced by the investigator.
Learning early about peanut allergy (LEAP) study:
640 infants in UK with eczema or egg allergy but no peanut allergy enrolled
each infant randomly assigned to peanut consumption and peanut avoidance groups
peanut consumption: fed 6g peanut protein daily until 5 years old
peanut avoidance: no peanut consumption until 5 years old
at 5 years old, oral food challenge (OFC) allergy test administered
13.3% of the avoidance group developed allergies, compared with 1.9% of the consumption group
Study characteristics
Study type: experiment
Study population: UK infants with eczema or egg allergy but no peanut allergy
Sample: 640 infants from population
Treatments: peanut consumption; peanut avoidance
Treatment allocation: completely randomized
Study outcome: development of peanut allergy by 5 years of age
Study results
Moderated peanut consumption causes a reduction in the likelihood of developing an allergy among infants with prior risk (eczema or egg allergies).
Randomization eliminates confounding by ensuring that study interventions are independent of all extraneous conditions.
flowchart TD A(unobserved variables) x-.-x B(study conditions) A --- C(outcome)
For example, imagine an observational version of the LEAP study in which allergy rates are compared between children who consumed peanuts as infants and those who didn’t.
Randomizing consumption regimens eliminates this possibility.
Data are a set of measurements.
A variable is any measured attribute of study units.
An observation is a measurement of one or more variables taken on one particular study unit.
It is usually expedient to arrange data values in a table in which each row is an observation and each column is a variable:
A table showing the observations and variables for the LEAP study would look like this:
| participant.ID | treatment.group | ofc.test.result |
|---|---|---|
| LEAP_100522 | Peanut Consumption | PASS OFC |
| LEAP_103358 | Peanut Consumption | PASS OFC |
| LEAP_105069 | Peanut Avoidance | PASS OFC |
| LEAP_105328 | Peanut Consumption | PASS OFC |
The table you saw in the reading was a summary of the data (not the data itself):
| FAIL OFC | PASS OFC | |
|---|---|---|
| Peanut Avoidance | 36 | 227 |
| Peanut Consumption | 5 | 262 |
Variables are classified according to their values. Values can be one of two different types:
For example:
sex can be male or female, so it is categoricalage (in years) can be any positive integer, so it is numericFurther distinctions are made based on the type of number or type of category used to measure an attribute. Can you match the subtypes to the variables at right?

| age | hispanic | grade | weight |
|---|---|---|---|
| 15 | not | 10 | 78.02 |
| 18 | hispanic | 12 | 78.47 |
| 17 | not | 11 | 95.26 |
| 18 | not | 12 | 95.26 |
Variable type (or subtype) is not an inherent quality — attributes can often be measured in many different ways.
For instance, age might be measured as either a discrete, continuous, or ordinal variable, depending on the situation:
| Age (years) | Age (minutes) | Age (brackets) |
|---|---|---|
| 12 | 6307518.45 | 10-18 |
| 8 | 4209187.18 | 5-10 |
| 21 | 11258103.08 | 18-30 |
Numeric variables can always be discretized into categorical variables.
Classify each variable as nominal, ordinal, discrete, or continuous:
| ndrm.ch | genotype | sex | age | race | bmi |
|---|---|---|---|---|---|
| 33.3 | CT | Female | 19 | Caucasian | 21.01 |
| 71.4 | CT | Female | 18 | Other | 23.18 |
| 37.5 | CC | Female | 21 | Caucasian | 28.92 |
| 50 | CC | Female | 28 | Asian | 21.16 |
Data are from an observational study investigating demographic, physiological, and genetic characteristics associated with muscle strength.
ndrm.ch is change in strength in nondominant arm after resistance traininggenotype indicates genotype at a particular location within the ACTN3 geneData are a collection of measurements taken on a sample of study units:
Variables are classified by their values:
Observational study of 595 individuals comparing change in arm strength before and after resistance training between genotypes for a region of interest on the ACTN3 gene.
Pescatello, L. S., et al. (2013). Highlights from the functional single nucleotide polymorphisms associated with human muscle size and strength or FAMuSS study. BioMed research international.
| ndrm.ch | drm.ch | sex | age | race | height | weight | genotype | bmi |
|---|---|---|---|---|---|---|---|---|
| 40 | 40 | Female | 27 | Caucasian | 65 | 199 | CC | 33.11 |
| 25 | 0 | Male | 36 | Caucasian | 71.7 | 189 | CT | 25.84 |
| 40 | 0 | Female | 24 | Caucasian | 65 | 134 | CT | 22.3 |
| 125 | 0 | Female | 40 | Caucasian | 68 | 171 | CT | 26 |
A statistic is, mathematically, a function of the values of two or more observations
For numeric variables, the most common summary statistic is the average value:
\[\text{average} = \frac{\text{sum of values}}{\text{# observations}}\]
For example, the average percent change in nondominant arm strength was 53.291%.
For categorical variables, the most common summary statistic is a proportion:
\[\text{proportion}_i = \frac{\text{# observations in category } i}{\text{# observations}}\]
For example:
| CC | CT | TT |
|---|---|---|
| 0.2908 | 0.4387 | 0.2706 |
Typically, a set of observations is written as:
\[x_1, x_2, \dots, x_n\]
The sum of the observations is written \(\sum_i x_i\), where the symbol \(\sum\) stands for ‘summation’. This is useful for writing the formula for computing an average:
\[\bar{x} = \color{blue}{\frac{1}{n}}\color{red}{\sum_{i=1}^n x_i} \qquad \left(\text{average} = \color{blue}{\frac{1}{\text{# observations}}} \times \color{red}{\text{sum of values}}\right)\]
Descriptive statistics refers to analysis of sample characteristics using summary statistics (functions of data) and/or graphics.
For example:
| genotype | avg.change.strength | n.obs |
|---|---|---|
| TT | 58.08 | 161 |
| CT | 53.25 | 261 |
| CC | 48.89 | 173 |

We call these descriptions and not inferences because they describe the sample:
Among study participants, those with genotype TT (n = 161) had the greatest average change in nondominant arm strength (58.08%).
The appropriate type of data summary depends on the variable type(s)
For categorical variables, the frequency distribution is simply an observation count by category. For example:
| participant.id | genotype |
|---|---|
| 494 | TT |
| 510 | TT |
| 216 | CT |
| 19 | TT |
| 278 | CT |
| 86 | TT |
| CC | CT | TT |
|---|---|---|
| 173 | 261 | 161 |

Frequency distributions of numeric variables are observation counts by “bins”: small intervals of a fixed width.
A plot of a numeric frequency distribution is called a histogram.
| participant.id | bmi |
|---|---|
| 194 | 22.3 |
| 141 | 20.76 |
| 313 | 23.48 |
| 522 | 29.29 |
| 504 | 42.28 |
| 273 | 20.34 |
| (10,20] | (20,30] | (30,40] | (40,50] |
|---|---|---|---|
| 69 | 461 | 58 | 7 |

Binning has a big effect on the visual impression. Which one captures the shape best?
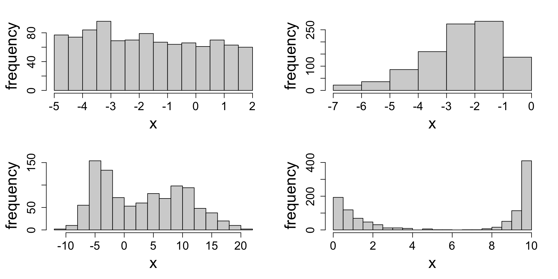
For numeric variables, the histogram reveals the shape of the distribution:
Histograms also reveal the number of modes or local peaks of frequency distributions.
Consider four variables from the FAMuSS study. Describe the shape and modes.
Here are some made-up data. Describe the shape and modes.
Most common statistics measure a particular feature of the frequency distribution, typically either location/center or spread/variability.
Measures of center:
Measures of location:
Measures of spread:
The most appropriate choice of statistic(s) depends on the shape of the frequency distribution.
There are three common measures of center, each of which corresponds to a slightly different meaning of “typical”:
| Measure | Definition |
|---|---|
| Mode | Most frequent value |
| Mean | Average value |
| Median | Middle value |
Suppose your data consisted of the following observations of age in years:
19, 19, 21, 25 and 31
Each statistic is a little different, but often they roughly agree; for example, all are between 20 and 25, which seems to capture the typical BMI well enough.
The less symmetric the distribution, the less these measures agree.
The mean is more sensitive than the median to skewness:
Comparing means and medians captures information about skewness present since:
For skewed distributions, the median is a more robust measure of center.
A percentile is a threshold value that divides the observations into specific percentages.
Percentiles are defined by the percentage of data below the threshold, for example:
Sample percentiles are not unique!
| age | 19 | 20 | 21 | 25 | 31 |
| rank | 1 | 2 | 3 | 4 | 5 |
Any number between 19 and 20 is a 20th percentile since it would satisfy:
Usually, pick the midpoint: 19.5.
The cumulative frequency distribution is a data summary showing percentiles. Think of it as percentile (y) against value (x).

Interpretation of some specific values:
Your turn:
The five-number summary is a collection of five percentiles that succinctly describe the frequency distribution:
| Statistic name | Meaning |
|---|---|
| minimum | 0th percentile |
| first quartile | 25th percentile |
| median | 50th percentile |
| third quartile | 75th percentile |
| maximum | 100th percentile |
Boxplots provide a graphical display of the five-number summary.

Notice how the two displays align, and also how they differ. The histogram shows shape in greater detail, but the boxplot is much more compact.


The spread of observations refers to how concentrated or diffuse the values are.
Two ways to understand and measure spread:
A simple way to understand and measure spread is based on ranges. Consider more ages, sorted and ranked:
| age | 16 | 18 | 19 | 20 | 21 | 22 | 25 | 26 | 28 | 29 | 30 | 34 |
| rank | 1 | 2 | 3 | 4 | 5 | 6 | 7 | 8 | 9 | 10 | 11 | 12 |
The range is the minimum and maximum values: \[\text{range} = (\text{min}, \text{max}) = (16, 34)\]
The interquartile range (IQR) is the difference [75th percentile] - [25th percentile] \[\text{IQR} = 29 - 19 = 10\]
Another way is based on deviations from a central value. Continuing the example, the mean age is is 24. The deviations of each observation from the mean are:
| age | 16 | 18 | 19 | 20 | 21 | 22 | 25 | 26 | 28 | 29 | 30 | 34 |
| deviation | -8 | -6 | -5 | -4 | -3 | -2 | 1 | 2 | 4 | 5 | 6 | 10 |
The variance is the average squared deviation from the mean (but divided by one less than the sample size): \[\frac{(-8)^2 + (-6)^2 + (-5)^2 + (-4)^2 + (-3)^2 + (-2)^2 + (1)^2 + (2)^2 + (4)^2 + (5)^2 + (6)^2 + (10)^2}{12 - 1}\]
In mathematical notation: \[S^2_x = \frac{1}{n - 1}\sum_{i = 1}^n (x_i - \bar{x})^2\]
Another way is based on deviations from a central value. Continuing the example, the mean age is is 24. The deviations of each observation from the mean are:
| age | 16 | 18 | 19 | 20 | 21 | 22 | 25 | 26 | 28 | 29 | 30 | 34 |
| deviation | -8 | -6 | -5 | -4 | -3 | -2 | 1 | 2 | 4 | 5 | 6 | 10 |
The standard deviation is the square root of the variance: \[\sqrt{\frac{(-8)^2 + (-6)^2 + (-5)^2 + (-4)^2 + (-3)^2 + (-2)^2 + (1)^2 + (2)^2 + (4)^2 + (5)^2 + (6)^2 + (10)^2}{12 - 1}}\]
In mathematical notation: \[S^2_y = \sqrt{\frac{1}{n - 1}\sum_{i = 1}^n (x_i - \bar{x})^2}\]
Listed from largest to smallest, here are each of the measures of spread for the 12 ages:
| min | max | iqr | variance | st.dev | avg.dev |
|---|---|---|---|---|---|
| 16 | 34 | 8.5 | 30.55 | 5.527 | 4.667 |
The interpretations differ between these statistics:
Percentile-based measures of location and spread are less sensitive to outliers
Consider adding an observation of 94 to our 12 ages. (This is called an outlier.)
The effect of this outlier on each statistic is:
In the presence of outliers, IQR is a more robust measure of spread.
To determine which measures of spread and center to use, simply visualize the distribution and check for skewness and outliers.
For example, which summary statistics are best to use below?
A population distribution is a frequency distribution across all possible study units.
For simple random samples, the observed distribution of sample values resembles the population distribution:


The larger the sample, the closer the resemblance.1
Population statistics are called parameters. These are fixed but unknown values.
| Population mean | Population SD |
|---|---|
| 5.067 | 1.126 |

Notation:
Sample statistics provide point estimates of the corresponding population statistics.
Notation:
| Sample mean | Sample SD | Sample size |
|---|---|---|
| 5.043 | 1.075 | 3179 |

| Population mean | Population SD |
|---|---|
| 5.067 | 1.126 |

| Sample mean | Sample SD | Sample size |
|---|---|---|
| 5.043 | 1.075 | 3179 |

So we might say: “mean total cholesterol in the study population is estimated to be 5.043”
Different samples yield different estimates.

Sample means:
| sample.1 | sample.2 |
|---|---|
| 5.093 | 5.136 |

These are 20 random samples with the sample mean indicated by the dashed line and the population distribution and mean overlaid in red.
We can actually measure this variability!
If we had means calculated from a much larger number of samples, we could make a frequency distribution for the values of the sample mean.

| sample | 1 | 2 | \(\cdots\) | 10,000 |
| mean | 4.957 | 5.039 | \(\cdots\) | 5.24 |
We could then use the usual measures of center and spread to characterize the distribution of sample means.
Across 10,000 random samples of size 20, the average estimate was 5.07 and the variability of estimates was 0.237.
What we are simulating is known as a sampling distribution: the frequency of values of a statistic across all possible random samples.

When data are from a random sample, statistical theory provides that the sample mean \(\bar{x}\) has a sampling distribution with
regardless of the population distribution.
In other words, across all random samples of a fixed size…
In practice we use an estimate of sampling variability known as a standard error: \[SE(\bar{x}) = \frac{s_x}{\sqrt{n}} \qquad \left(\frac{\text{sample SD}}{\sqrt{\text{sample size}}}\right)\]
For example:

\[SE(\bar{x}) = \frac{1.073}{\sqrt{20}} = 0.240\]
There are two potential sources of variability in estimates:
For example, the estimates below are equally precise:

\(SE(\bar{x})\) = 0.1265079

\(SE(\bar{x})\) = 0.1223712
Under simple random sampling:
| mean | sd | n | se |
|---|---|---|---|
| 5.043 | 1.075 | 3179 | 0.01906 |

Conventional style for reporting a point estimate:
The mean total HDL cholesterol among the U.S. adult population is estimated to be 5.043 mmol/L (SE 0.0191).
An interval estimate is a range of plausible values for a population parameter.
A common interval for the population mean is: \[ \bar{x} \pm \underbrace{2\times SE(\bar{x})}_\text{margin of error} \qquad\text{where}\quad SE(\bar{x}) = \left(\frac{s_x}{\sqrt{n}}\right) \]
By hand: \[5.043 \pm 2\times 0.0191 = (5.005, 5.081)\]
So the mean total cholesterol among U.S. adults is estimated to be between 5.005 and 5.081 mmol/L. Two questions:
Consider the statistic:
\[ T = \frac{\bar{x} - \mu}{s_x/\sqrt{n}} \qquad\left(\frac{\text{estimation error}}{\text{standard error}}\right) \]
The sampling distribution of \(T\) is well-approximated by a \(t_{n - 1}\) model whenever either:

Compare this with the simulated sampling distribution of \(\bar{x}\) from before – should seem plausible, since \(T\) is just \(\bar{x}\) shifted (by \(\mu\)) and scaled (by \(SE(\bar{x})\)).
The area under the density curve between any two values \((a, b)\) gives the proportion of random samples for which \(a < T < b\).
\[(\text{proportion of area between } a, b) = (\text{proportion of samples where } a < T < b)\]
The area under the density curve between any two values \((a, b)\) gives the proportion of random samples for which \(a < T < b\).
\[(\text{proportion of area between } a, b) = (\text{proportion of samples where } a < T < b)\]
The area under the density curve between any two values \((a, b)\) gives the proportion of random samples for which \(a < T < b\).
\[(\text{proportion of area between } a, b) = (\text{proportion of samples where } a < T < b)\]
The area under the density curve between any two values \((a, b)\) gives the proportion of random samples for which \(a < T < b\).
\[(\text{proportion of area between } a, b) = (\text{proportion of samples where } a < T < b)\]
The area under the density curve between any two values \((a, b)\) gives the proportion of random samples for which \(a < T < b\).
\[(\text{proportion of area between } a, b) = (\text{proportion of samples where } a < T < b)\]
The area under the density curve between any two values \((a, b)\) gives the proportion of random samples for which \(a < T < b\).
\[(\text{proportion of area between } a, b) = (\text{proportion of samples where } a < T < b)\]
So where did that 2 come from in the margin of error for our interval estimate?
\[ \bar{x} \pm \color{blue}{2}\times SE(\bar{x}) \]
Well:
\[ \begin{align*} 0.94 &= P(-\color{blue}{2} < T < \color{blue}{2}) \\ &= P\left(-\color{blue}{2} < \frac{\bar{x} - \mu}{s_x/\sqrt{n}} < \color{blue}{2}\right) \\ &= P(\underbrace{\bar{x} - \color{blue}{2}\times SE(\bar{x}) < \mu < \bar{x} + \color{blue}{2}\times SE(\bar{x})}_{\text{interval covers population mean}}) \end{align*} \]
The \(\pm\) 2SE interval covers the population mean for 94% of all random samples.
So the number 2 determines the proportion of samples for which the interval covers the mean, known as its coverage.
The sample size determines the exact shape of the \(t\) model through its ‘degrees of freedom’ \(n - 1\). The coverage of an interval with \(c = 2\) quickly converges to just over 95% as the sample size increases.
| n | coverage |
|---|---|
| 4 | 0.8607 |
| 8 | 0.9144 |
| 16 | 0.9361 |
| 32 | 0.9457 |
| 64 | 0.9502 |
| 128 | 0.9524 |
| 256 | 0.9534 |

So we use 2 standard errors by default because that gives approximately 95% coverage.
Artificially simulating a large number of intervals provides an empirical approximation of coverage.
This is also a handy way to remember the proper interpretation:
If I made a lot of intervals from independent samples, 95% of them would ‘get it right’.

Consider a slightly more general expression for an interval for the mean:
\[ \bar{x} \pm c\times SE(\bar{x}) \]
The number \(c\) is called a critical value. It determines the coverage.
The so-called “empirical rule” is that:
\[ P(\color{#FF6459}{-2 < T < 2}) = 1 - 2\times P(\color{blue}{T > 2}) \]
Look at how the areas add up so that: \[ \begin{align} P(\color{blue}{T > 2}) &= 0.03 \\ P(T < 2) &= 1 - 0.03 = 0.97 \end{align} \] The critical value 2 is actually the 97th percentile (or 0.97 “quantile”) of the sampling distribution of \(T\).

So we can engineer intervals to achieve a specific coverage by going from coverage to quantile to critical value to interval.
To engineer an interval with a specific coverage, use the \(q\)th quantile of the \(t_{n - 1}\) model
\[ q = \left[1 - \left(\frac{1 - \text{coverage}}{2}\right)\right] \]
The effect of the adjustment is:
Note, however, that interval width depends also on the “precision” of the estimate (via \(SE(\bar{x})\)) as well as the desired coverage level.
The coverage – how often the interval captures the parameter – is interpreted and reported as a “confidence level”; we thus call interval estimates “confidence intervals”.
# ingredients
cholesterol.mean <- mean(cholesterol)
cholesterol.se <- sd(cholesterol)/sqrt(length(cholesterol))
# 95% coverage using t quantile
crit.val <- qt(1 - (1 - 0.95)/2,
df = length(cholesterol) - 1)
cholesterol.mean + c(-1, 1)*crit.val*cholesterol.se[1] 5.005566 5.080310
Conventional style for reporting a confidence interval:
With 95% confidence, the mean total cholesterol among U.S. adults is estimated to be between 5.0056 and 5.0803 mmol/L.
The “common” interval estimate for the mean is an approximate 95% confidence interval:
\[ \bar{x} \pm 2 \times SE(\bar{x}) \]
Conventional style of report:
With [XX]% confidence, the [population parameter] is estimated to be between [lower bound] and [upper bound] [units].
STAT218